There is an opinion that there is a pigment Carbon black organic and there is inorganic and all depends on the method of its production. That allegedly pigment carbon black, which is obtained by burning petroleum products is organic, and which is obtained by burning gas will be inorganic (well or vice versa, it does not matter). It’s time to put an end to this debate and provide evidence that Carbon Black is an inorganic pigment! Let’s go!
Where did this myth that Carbon Black pigment is supposedly organic come from in the first place. Most likely from a misinterpretation of the definition of organic matter:
“Organic compounds, organic substances – a class of chemical substances that unites almost all chemical compounds that include carbon atoms bonded to atoms of other chemical elements. “
Wikipedia
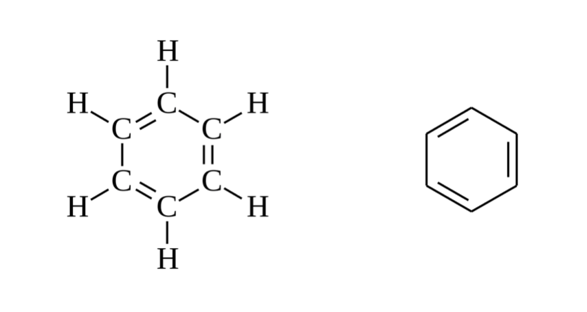
I draw your attention to the wording “which include carbon atoms”, not carbon itself! The structure of Carbon Black pigment also adds fuel to the fire – look at its molecular structure!

Now look at the structure of a classic organic molecule – benzene

They are very similar and I think that this also influenced the myth that Carbon Black pigment is organic. However, there is a very important difference in the structure. In essence, Carbon Black particles are formed from layered sheets of graphene.

Carbon Black particles can be described as aggregates and agglomerates of graphene-like sheets (c) . These sheets, which are essentially small fragments or stacks of graphene-like structures, are layered and intertwined to form spheroidal formations (b) called “primary particles”. These primary particles then combine to form chain-like structures or aggregates (a).
Graphene is considered an inorganic material. It consists of a single layer of carbon atoms arranged in a hexagonal lattice. Although carbon is a fundamental element in organic chemistry, graphene itself is not based on the carbon-hydrogen (CH) bonds that are characteristic of organic compounds. Instead, the structure of graphene is based on carbon-carbon (CC) bonds.
At this point I propose to close the discussion on “Carbon Black is an organic or inorganic pigment”. And about what affects the understanding of the structure and properties of Carbon Black in terms of both permanent makeup and laser tattoo removal and permanent makeup, we will talk in other articles!
Share this material with your colleagues and give it a like!




